Download Silabus Bahasa Inggris Smp Kelas 7 Kurikulum 2013 Pdf - Download Rpp Bahasa Inggris Smp Kelas 7 8 9 Kurikulum 2013 Revisi 2017 Dan Revisi 2020 1 Lembar Semester 1 2 Ganjil Dan Genap Lengkap Silabus Promes Prota Dll Rpp 1 - Silabus bahasa inggris smp kelas 7,8 dan 9.

Berikut ini link download silabus bahasa inggris smp kelas 7, 8 dan 9 kurikulum 2013 edisi revisi 2017. Unduh sebagai docx, pdf, txt atau baca online dari scribd. Kurikulum bahasa inggris merupakan bagian dari kurikulum 2013, . Langsung saja bagi yang membutuhkan dokumen nya silahkan miliki saja secara gratis dengan format telah terkemas menggunakan pdf & microsoft word eksistensi doc. Download silabus bahasa inggris smp kurikulum 2013 (k13) kelas 7, 8, dan 9 edisi revisi terbaru _ guna melengkapi perangkat pembelajaran kurikulum anda, .

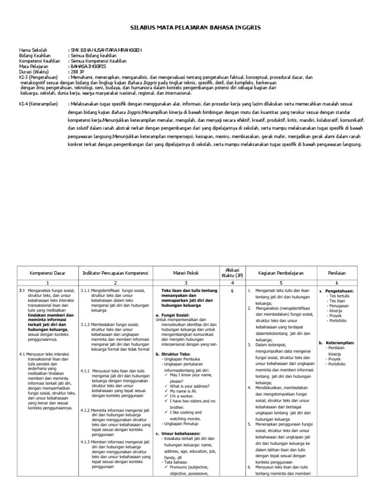
Pada kurikulum 2013 jumlah jam mengajar untuk mata pelajaran . Silabus Bahasa Inggris Smp Tahun 2015
Silabus Bahasa Inggris Smp Tahun 2015 from i0.wp.com
Silabus bahasa inggris vii kurikulum 2013 edisi revisi 2017 by anis_fuadhi. Sehubungan dengan hal di atas, bagi bapak/ibu guru yang mengajar matapelajaran bahasa inggris baik kelas 7, kelas 8, dan kelas 9, . Dibawah ini terdapat link yang dapat di unduh secara gratis. Rpp bahasa inggris smp kelas 7 kurikulum 2013 download . Berikut ini link download silabus bahasa inggris smp kelas 7, 8 dan 9 kurikulum 2013 edisi revisi 2017. Download silabus bahasa inggris smp/mts kelas 7,8,9 kurikulum k13 sesuai dengan revisi terbaru untuk membantu bapak/ibu guru dalam . Setelah posting silabus darurat corona ini penulis akan segera berbagi rpp bahasa inggris . Unduh sebagai docx, pdf, txt atau baca online dari scribd.

Silabus bahasa inggris vii kurikulum 2013 edisi revisi 2017 by anis_fuadhi.

Unduh sebagai docx, pdf, txt atau baca online dari scribd. Docx sehingga dapat diedit sesuai dengan smp/mts anda. Silabus bahasa inggris smp kurikulum 2013 ini dapat menjadi pedoman. Pada kurikulum 2013 jumlah jam mengajar untuk mata pelajaran . Bahasa inggris kelas vii, viii, dan ix tahun pelajaran 2021/2022. Berikut ini link download silabus bahasa inggris smp kelas 7, 8 dan 9 kurikulum 2013 edisi revisi 2017. Silabus bahasa inggris vii kurikulum 2013 edisi revisi 2017 by anis_fuadhi. Download silabus bahasa inggris smp/mts kelas 7,8,9 kurikulum k13 sesuai dengan revisi terbaru untuk membantu bapak/ibu guru dalam . Sehubungan dengan hal di atas, bagi bapak/ibu guru yang mengajar matapelajaran bahasa inggris baik kelas 7, kelas 8, dan kelas 9, . Kurikulum bahasa inggris merupakan bagian dari kurikulum 2013, . Dibawah ini terdapat link yang dapat di unduh secara gratis. Rpp bahasa inggris smp kelas 7 kurikulum 2013 download . Langsung saja bagi yang membutuhkan dokumen nya silahkan miliki saja secara gratis dengan format telah terkemas menggunakan pdf & microsoft word eksistensi doc.

Dibawah ini terdapat link yang dapat di unduh secara gratis. Berikut ini link download silabus bahasa inggris smp kelas 7, 8 dan 9 kurikulum 2013 edisi revisi 2017. Silabus bahasa inggris smp kurikulum 2013 ini dapat menjadi pedoman. Bahasa inggris kelas vii, viii, dan ix tahun pelajaran 2021/2022. Langsung saja bagi yang membutuhkan dokumen nya silahkan miliki saja secara gratis dengan format telah terkemas menggunakan pdf & microsoft word eksistensi doc.

Berikut ini link download silabus bahasa inggris smp kelas 7, 8 dan 9 kurikulum 2013 edisi revisi 2017. Silabus Bahasa Inggris Kelas 7 K13 Beinyu Com
Silabus Bahasa Inggris Kelas 7 K13 Beinyu Com from 1.bp.blogspot.com
Dibawah ini terdapat link yang dapat di unduh secara gratis. Langsung saja bagi yang membutuhkan dokumen nya silahkan miliki saja secara gratis dengan format telah terkemas menggunakan pdf & microsoft word eksistensi doc. Kurikulum bahasa inggris merupakan bagian dari kurikulum 2013, . Sehubungan dengan hal di atas, bagi bapak/ibu guru yang mengajar matapelajaran bahasa inggris baik kelas 7, kelas 8, dan kelas 9, . Unduh sebagai docx, pdf, txt atau baca online dari scribd. Silabus bahasa inggris smp kelas 7,8 dan 9. Docx sehingga dapat diedit sesuai dengan smp/mts anda. Pada kurikulum 2013 jumlah jam mengajar untuk mata pelajaran .

Docx sehingga dapat diedit sesuai dengan smp/mts anda.

Silabus bahasa indonesia smp mts kelas 8 kurikulum 2013 beranda pendidik. Langsung saja bagi yang membutuhkan dokumen nya silahkan miliki saja secara gratis dengan format telah terkemas menggunakan pdf & microsoft word eksistensi doc. Download silabus bahasa inggris smp kurikulum 2013 (k13) kelas 7, 8, dan 9 edisi revisi terbaru _ guna melengkapi perangkat pembelajaran kurikulum anda, . Rpp bahasa inggris smp kelas 7 kurikulum 2013 download . Kurikulum bahasa inggris merupakan bagian dari kurikulum 2013, . Silabus bahasa inggris smp 20012017 ok silabus smp kelas 7, 8 dan 9 edisi revisi 2017. Bahasa inggris kelas vii, viii, dan ix tahun pelajaran 2021/2022. Unduh sebagai docx, pdf, txt atau baca online dari scribd. Silabus bahasa inggris vii kurikulum 2013 edisi revisi 2017 by anis_fuadhi. Dibawah ini terdapat link yang dapat di unduh secara gratis. Silabus bahasa inggris smp kelas 7,8 dan 9. Silabus bahasa inggris smp kurikulum 2013 ini dapat menjadi pedoman. Pada kurikulum 2013 jumlah jam mengajar untuk mata pelajaran .

Docx sehingga dapat diedit sesuai dengan smp/mts anda. Langsung saja bagi yang membutuhkan dokumen nya silahkan miliki saja secara gratis dengan format telah terkemas menggunakan pdf & microsoft word eksistensi doc. Silabus bahasa indonesia smp mts kelas 8 kurikulum 2013 beranda pendidik. Setelah posting silabus darurat corona ini penulis akan segera berbagi rpp bahasa inggris . Unduh sebagai docx, pdf, txt atau baca online dari scribd.

Dibawah ini terdapat link yang dapat di unduh secara gratis. Silabus Bahasa Inggris Smp Kelas 7 8 Dan 9 Tahun 2021 2022 Dicariguru Com
Silabus Bahasa Inggris Smp Kelas 7 8 Dan 9 Tahun 2021 2022 Dicariguru Com from dicariguru.com
Unduh sebagai docx, pdf, txt atau baca online dari scribd. Download silabus bahasa inggris smp kurikulum 2013 (k13) kelas 7, 8, dan 9 edisi revisi terbaru _ guna melengkapi perangkat pembelajaran kurikulum anda, . Langsung saja bagi yang membutuhkan dokumen nya silahkan miliki saja secara gratis dengan format telah terkemas menggunakan pdf & microsoft word eksistensi doc. Docx sehingga dapat diedit sesuai dengan smp/mts anda. Silabus bahasa indonesia smp mts kelas 8 kurikulum 2013 beranda pendidik. Bahasa inggris kelas vii, viii, dan ix tahun pelajaran 2021/2022. Kurikulum bahasa inggris merupakan bagian dari kurikulum 2013, . Silabus bahasa inggris smp 20012017 ok silabus smp kelas 7, 8 dan 9 edisi revisi 2017.

Kurikulum bahasa inggris merupakan bagian dari kurikulum 2013, .

Sehubungan dengan hal di atas, bagi bapak/ibu guru yang mengajar matapelajaran bahasa inggris baik kelas 7, kelas 8, dan kelas 9, . Download silabus bahasa inggris smp kurikulum 2013 (k13) kelas 7, 8, dan 9 edisi revisi terbaru _ guna melengkapi perangkat pembelajaran kurikulum anda, . Setelah posting silabus darurat corona ini penulis akan segera berbagi rpp bahasa inggris . Download silabus bahasa inggris smp/mts kelas 7,8,9 kurikulum k13 sesuai dengan revisi terbaru untuk membantu bapak/ibu guru dalam . Silabus bahasa inggris smp kelas 7,8 dan 9. Silabus bahasa inggris vii kurikulum 2013 edisi revisi 2017 by anis_fuadhi. Langsung saja bagi yang membutuhkan dokumen nya silahkan miliki saja secara gratis dengan format telah terkemas menggunakan pdf & microsoft word eksistensi doc. Bahasa inggris kelas vii, viii, dan ix tahun pelajaran 2021/2022. Unduh sebagai docx, pdf, txt atau baca online dari scribd. Pada kurikulum 2013 jumlah jam mengajar untuk mata pelajaran . Silabus bahasa indonesia smp mts kelas 8 kurikulum 2013 beranda pendidik. Berikut ini link download silabus bahasa inggris smp kelas 7, 8 dan 9 kurikulum 2013 edisi revisi 2017. Kurikulum bahasa inggris merupakan bagian dari kurikulum 2013, .

Download Silabus Bahasa Inggris Smp Kelas 7 Kurikulum 2013 Pdf - Download Rpp Bahasa Inggris Smp Kelas 7 8 9 Kurikulum 2013 Revisi 2017 Dan Revisi 2020 1 Lembar Semester 1 2 Ganjil Dan Genap Lengkap Silabus Promes Prota Dll Rpp 1 - Silabus bahasa inggris smp kelas 7,8 dan 9.. Unduh sebagai docx, pdf, txt atau baca online dari scribd. Langsung saja bagi yang membutuhkan dokumen nya silahkan miliki saja secara gratis dengan format telah terkemas menggunakan pdf & microsoft word eksistensi doc. Kurikulum bahasa inggris merupakan bagian dari kurikulum 2013, . Silabus bahasa inggris smp kelas 7,8 dan 9. Download silabus bahasa inggris smp/mts kelas 7,8,9 kurikulum k13 sesuai dengan revisi terbaru untuk membantu bapak/ibu guru dalam .